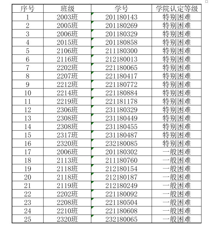
根据《嘉应学院家庭经济困难学生认定工作实施办法》(嘉院学〔2023〕15号)文件精神及《关于做好2024年春季学期家庭经济困难学生认定动态调整工作的通知》(学生字〔2024〕13 号)要求,经学生申请、班级评议、学院审核等程序,我院有25名学生家庭经济困难认定结果已调整(结果附后)。现将认定调整结果进行公示,公示时间为2024年4月19日至2024年4月21日。如有异议,请向学生所在系部反映,由各系部统一报学生科处理。反映情况时要自报或签署真实姓名,要有具体事实;不报或不签署真实姓名以及不提供具体事实材料的,一律不予受理。
医 学 院
2024年4月19日
|
| 2024年春季学期学生家庭经济困难认定动态调整结果 |
